人的绩效和认知的数学建模
Dr.Changxu
Wu
|
|
[特点] [理论框架和模型]
[建模视频教程] [设计工具]
本站的目的是总结和整合基于排队网络的所有数学建模工作。它也是人的绩效的数学建模学习资料平台。
1. 人的绩效和认知的数学建模的特点
数学方程式可以严格地预测,量化和分析人类绩效,工作负荷,脑电波和其他人类行为指标。与计算机仿真相比,
1)
我们通过建立人类行为的数学模型和方程式通过变量的关系(包括每个方程的输入和输出之间的关系),能够比较深入地理解和清晰地量化人类行为的机制。读懂数学模型将比阅读上千行计算机代码相更加容易一些,也更容易理解和把握变量之间的关系和人的行为机制。
2)
人类行为的数学模型和方程可以相对大量计算机程序更容易地进行编辑、修改、改进和整合,从而推导出新的数学方程。
3)
人类行为和绩效的数学模型和方程可以相对容易地用不同的编程语言来实现,并且可以嵌入到不同的智能系统中与系统设计一起工作。
4)
数学模型和方程可以得到比仿真结果更精确的解析解。
5)
有一些数学模型和方程量化了整个人类认知系统(见整个网络中的方程式),这是数学建模方法的另一个独特之处。
6)
有一些数学模型和方程式可以通过数学推导直接证明,而无需通过实证数据进行验证(See Equations in Wu, C., Berman, M., & Liu, Y., 2010)
2. 数学模型和方程式在本总结网页中的使用
这里总结的公式也可以作为索引页和指南工具,供建模人员使用,他们可以:
1)
使用这些数学模型来量化和预测人类绩效中的新现象和新任务
2)
添加和开发新的方程式和数学模型,以量化人类认知和绩效的新成分,并随着人的信息加工排队网络模型(QN-MHP)的框架进一步发展
3)
用于和嵌入到不同的智能系统和工具设计中,对人类绩效和行为进行预测
3. 学习教程和免费会员资格:
1)
如何建立和验证人类绩效模型(概述)(Wu,建模中的五个关键问题)(视频) [PDF]
2)
如何建立数学模型(例如第9-10页)(Wu & Liu,2008a)(学习视频请联系Dr.Changxu Wu:changxu.wu@gmailcom)
3)
如何在人类绩效建模中整合和建立新的数学模型 (Zhang & Wu, 2017)
4)
若想成为人类绩效数学建模小组的成员(用户或贡献者),获得相关的视频教程(如如何建模),请发送电子邮件至changxu.wu@gmailcom(请列出您的全名和机构/公司名称),我们将向您发送最新的更新、建模工作和教程。
3. 基于本页方程式的人机系统设计工具
coming soon [Link]
人的信息加工排队网络模型的总体结构
|
(a.) 感知子网络 |
|
(b.) 认知子网络 |
|
(c.) 动作控制子网络 |
|
1. 基础视觉处理 2.视觉识别 3.物体位置视觉处理 4.视觉识别与位置整合 5.基础听觉处理 6.听觉识别 7.物体位置听觉处理 8.听觉识别和位置整合 |
|
A.视觉空间短时记忆 B.语音回路短时记忆 C.中央执行短时记忆 D.长时程序性知识的记忆 E.人的绩效监控 F.复杂认知功能 G.目标处理 H.长时陈述性记忆和空间记忆 |
|
V.感觉动作集成 W.动作程序提取 X.动作反馈信息收集 Y.工作程序装配和错误检测 Z.向身体部位发送信息1-25身体部位:眼睛、嘴、四肢等 |
服务器信息处理时间和信息处理容量
|
Server
Name |
Processing
Timea: Exponential Distribution (Mean,
Min) (ms) |
Capacity
(Entitiesa) |
|
Server
Name |
Processing
Time: Exponential Distribution (Mean, Min) (ms) |
Capacity
(Entitiesb) |
|
1 |
Exp (42, 25) |
4 |
|
5 |
Exp (42, 25) |
2 |
|
2 |
Exp (42, 25) |
4 |
|
6 |
Exp (42, 25) |
1 |
|
3 |
Exp (42, 25) |
4 |
|
7 |
Exp (42, 25) |
1 |
|
4 |
Exp (42, 25) |
5 |
|
8 |
Exp (42, 25) |
1 |
|
A |
Exp (18, 6) |
4 |
|
E |
Exp (18, 6) |
Infinitec |
|
B |
Exp (18, 6) |
4 |
|
F |
Exp (18, 6) per cycle |
1 |
|
C |
Exp (18, 6) |
3 |
|
G |
Exp (18, 6) |
Infinitec |
|
D |
Exp (18, 6)e |
Infinite |
|
H |
Exp (18, 6)e |
Infinite |
|
V |
Exp (24, 10) |
Infinitec |
|
X |
Exp (24, 10) |
Infinitec |
|
W |
Exp (24, 10) |
c |
|
21 (Eye
Motor) |
Saccade
and Fixation Timed |
1 |
|
Y |
Exp (24, 10) |
2 |
|
22 (Mouth) |
As
a function of number of syllables (Voice key closure time: 100 ms, Wu & Liu, 2008a) |
1 |
|
Z |
Exp (24, 10) |
2 |
|
23 (Right Hand & Right Arm) |
Arm and hand movement time, see Fitts's Law; Finger movement time, see (Wu & Liu, 2008b) |
1
(If one movement per time) |
|
25
(Right Foot) |
Foot movement time, see (Zhang, Wu, & Wan, 2016; Zhao & Wu, 2013; Zhao, Wu, & Qiao, 2013) |
1
(If one movement per time) |
|
24 (Left Hand & Left Arm) |
Arm and hand movement time, see Fitts's Law; Finger movement time, see (Wu & Liu, 2008b) |
1
(If one movement per time) |
|
26
(Left Foot) |
Foot movement time, see (Zhang et al., 2016; Zhao & Wu, 2013; Zhao et al., 2013) |
1
(If one movement per time) |
|
27
(Head), 28 (Body), etc. |
Head,
body movement time etc.c |
1
(If one movement per time) |
a.处理速度和处理能力是根据人的加工计算模型设定的(Card,et
al.,1983)、Wu
et al(2008-2017)和Jacobson(1999)
b.实体被定义为给定任务中最小的信息处理单元。例如,在打字任务中,一个字母是一个实体。在语音警告响应任务中,每个短单词都可以视为一个实体。对于语音警告中的长词,每个音节可以表示为一个实体。
c.需要进一步的建模工作和调查
d.见人的加工计算模型(Card,
et al., 1983).
e.还取决于信息检索的级别(例如,熟悉程度和检索时间)
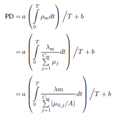
方程组EN-1:NASA-TLX测量的工作负荷建模:方程式(10-12)(Wu
& Liu, 2007)

|
Variables |
|
|
|
PD |
Physical
Demand |
How much physical activity was required? Was the task easy
or demanding, slack or strenuous? |
|
TD |
Temporal
Demand |
How much time pressure did you feel due to the pace at
which the tasks or task elements occurred? Was the pace slow or rapid? |
|
EF |
Effort |
How hard did you have to work (mentally and physically) to
accomplish your level of performance? |
|
PE |
Performance |
How successful were you in performing the task? How
satisfied were you with your performance? |
|
FR |
Frustration |
How irritated, stressed, and annoyed versus content,
relaxed, and complacent did you feel during the task? |
|
MD |
Mental
Demand |
How much mental and perceptual activity was required? Was
the task easy or demanding, simple or complex? |
|
A |
A
factor of aging (A ≥ 1) |
The
value of A is directly proportional to age, set based on literature |
|
|
Arrival
rate |
The
arrival rate of the subnetwork i |
|
|
Original
processing speed |
The
original processing speed of server j for the young adults in QN-MHP |
|
|
Number
of servers |
The
total number of servers in the subnetwork m |
|
T |
Total
time of a trial |
The total task time of
each trial |
|
a |
Constant |
The
constants in representing the direct proportional relation between the
averaged utilizations and the subjective responses (a > 0), see the
published work |
|
b |
Constant |
Same
above |
方程组EN-2:以P300波幅和潜伏期衡量的工作负荷建模:方程式(10-11)(Wu,
Liu, & Quinn-Walsh, 2008)
|
Variables |
|
|
|
|
Amplitude
of the ERP potential P300 |
|
|
Li |
Latency
of the P300 |
|
|
k |
Constant |
A
constant in this relationship I = kN. |
|
b |
Constant |
A
constant in this inverse relationship |
|
NE |
Amount
of NE |
Modeling NE (norepinephrine) in Synaptic Transmission |
|
|
Number |
Number
of information entities |
|
|
Number |
Number
of information entities of other tasks concurrently processed in server j |
|
|
Number |
Number
of processing cycles for each of those entities at server j |
|
|
A
random factor |
Normally
distributed random factor with mean being equal to zero |
|
r |
Distance |
Distance
from the electrical field point (the location where NE is released) to
locations of the electrodes on the scalp |
|
|
Processing
times |
Processing
times of task i at the perceptual
subnetwork, at Server A or B, and at Servers C and E, respectively |
方程组EN-3:在fMRI建模中的Bold信号:方程式(27)(Wu & Liu, 2008a)
|
Variables |
|
|
|
CB(t) |
The
integrated BOLD signal |
Modeling
of BOLD signal and its percentage of change: The integrated BOLD (blood
oxygen level dependent) signal |
|
s |
Latency
scale |
|
|
M |
Magnitude scale |
|
|
k,a,b |
Parameters |
k,
a, and b come from the equations of Cohen (1997) and Anderson et al. (2003),
determined by the properties of the brain regions with certain fMRI
measurement techniques |
|
t |
The
duration of each trial |
Modeling
of BOLD Signal and Its Percentage of Change |
|
|
The
length of time being occupied at a server |
In
queuing networks can be quantified by Equation 28 (Gross & Harris,
1998): |
方程组EN-4:基于强化学习算法的实体路线选择和技能获取:方程式(9.7-9.8)(Wu,
Berman, & Liu, 2010)
|
Variables |
|
|
|
Processing
speed of server i |
|
|
The minimal
of processing time of server i after
intensive practice |
|
|
The change
of expected value of processing time of server i
from the beginning to the end of the practice |
|
|
Learning
rate of server i |
|
|
Number
of entities processed by server i |
|
Variables |
|
|
|
|
Online Q
value |
|
|
|
Maximum
Q value |
Maximum
Q value routing from server j to next k server(s) |
|
|
Processing
speed |
|
|
|
Discount
parameter |
The
discount parameter of routing to the next server( |
|
|
Learning
rate |
The
learning rate of Q online learning( |
方程组EN-5:学习过程中的信息处理速度及其变异性变化:方程式(6)(Wu
& Liu, 2008b)
|
Variables |
|
|
|
X |
Summation
of processing time of servers (Y) |
|
|
Yi |
Processing
time of server i |
|
|
k |
Number
of servers in the route |
|
|
|
Arrival
rates of entities/information |
|
方程组EN-6:将期望效用建模为时间压力下的工作负荷。方程式(2)(Cao &
Liu, 2015)
|
Variables |
|
|
|
a,b |
Parameter |
Parameters
a and b are the constants in representing the direct proportional relation
between the averaged utilizations and the subjective responses (a > 0) |
|
|
The
average utilization of motor subnetwork |
The
score of PD reflects workload at the motor component, and therefore, it is in
direct proportion to the average utilization of motor subnetwork |
方程组EN-7:对语音告警的响应时间进行建模。方程式(11,12,13)
(Zhang, Wu & Wan, 2016)

|
Variables |
Description |
|
Tk |
Notation
of processing time of the stimulus at Server k (k =1-8,
A,B,C,F,H, W−Z) |
|
T6(0)and
T8(0) |
The
initial entity processing time in Server 6 and Server 8, respectively |
|
UL |
The
perceived urgency as a function of warning loudness |
|
US |
The
perceived urgency as a function of signal world choice |
|
pi |
Notation
of probability of a warning stimulus traveling through a route i (i=I or II) |
感知子网络
服务器1.方程组VP-1:文本信息感知中的眼动建模:方程式(12)(Wu
& Liu, 2008b)
|
Variables |
|
Sources |
|
E(FC) |
The
expected position of the first character in each chunk |
Calculation of the Expected Position of the First Character i |
|
E(FP) |
The
expected position of the fixation point |
|
|
|
The
half-range of each chunk under extensive practice condition |
|
服务器1.方程组VP-2:图片信息感知中的眼动建模:方程式(3)
(Lim & Liu, 2009)
|
Variables |
|
|
|
|
Importance
index of function k |
The
relatively important function can be given a value 1, and a value 0 is given
to the other. The importance index of function k can be calculated. |
|
|
The importance
value for function k |
The
importance value for function k obtained from each pair-wise comparisons,
either 1 or 0. |
服务器3.方程组VP-3:视觉光流感知和速度感知:方程(1)(Zhao
& Wu, 2013)
|
Variables |
|
|
|
Perceived
speed |
|
V |
Actual
speed |
|
|
The
current texture density |
|
|
The texture
density in the last driving scenario |
|
|
The eye
height in the last driving scenario |
|
|
The current
eye height |
|
|
two constant
parameters |
服务器4.方程组VP-4:具有检测距离和图像矩阵的视觉检测建模:方程式(12)(Bi,
Tsimhoni, & Liu, 2009)
|
Variables |
|
|
|
RPOT |
Square root of the number
of pixels on a target |
|
|
f |
Focal
length |
|
|
S |
Size of the area of a
target object. |
|
|
D |
Distance
of the image forming |
|
服务器6.方程组AP-1:模拟响度对语音告警感知的影响:方程式(1,11)
(Zhang, Wu, & Wan, 2016)
|
Variables |
|
|
|
|
The perceived
urgency |
Modeling
the relationship between loudness and perceived urgency |
|
|
Constants |
The
relationship between intensity and perceived urgency was quantified: |
|
|
Random factors |
distributed
random factors following distribution [0, 0.7] |
|
L |
Loudness
level |
|
|
Variables |
|
|
|
The
effect of loudness on reaction time |
|
|
The
initial entity processing time in Server 6 |
|
|
The
effect of loudness on perceived urgency |
服务器8.方程组AP-2:信号词对语音预警感知的影响建模:方程(12)
(Zhang, Wu, & Wan, 2016)
|
Variables |
|
|
|
The
effect of signal word choice on reaction time |
|
|
The
entity processing time in Server 8 |
|
|
The
urgency level expressed by the initial words |
|
|
The
number of words in the ith
speech warning |
认知子网络
方程组C-1:文本信息的最优分块建模:方程式(22)
(Wu & Liu, 2008b)
|
Variables |
Description |
|
Z |
Objective
function of task completion time |
|
|
Overall
duration of processing each chunk at servers after server B |
|
N |
Total
number of entities processed |
|
x |
Chunk
size |
|
|
Rate of
retrieval failure at server B |
|
R |
Average duration to correct an error
caused by a wrongly processed entity or character |
方程组C-2:语音信息记忆衰减的建模:方程(7)
( Zhang, Wu, & Wan, 2016)
|
Variables |
Description |
|
|
The probability
of memory decay |
|
|
Lead time
of a speech warning |
方程组C-3:对语音告警的强化学习中的路径选择概率进行建模:方程式(4-5)
( Zhang, Wu, & Wan, 2016)
|
Variables |
|
|
|
The route
choice error rate |
|
|
The error
rate when a speech warning travels via route i |
|
|
The probability
of a speech warning entity processed via route i |
|
Variables |
|
|
|
The
error rate of route choice |
|
L |
Loudness
level in dB |
|
|
Perceived
urgency level with different signal word choice |
|
|
Parameters
to quantify the power law of perceived urgency and loudness |
|
|
Parameters
to quantify the power law of perceived annoyance and loudness |
|
pI, pII |
Probabilities
of choosing route I (the shorter route) and route II (the longer route) |
-服务器C:
方程组C-4:抑制不相容反应建模:方程式(4-6)
(Wu & Liu, 2008a)

|
Variables |
|
|
T2,C-comp and T2,F-comp, |
Processing
times of Server C and F in the compatible conditions |
|
T2,C-incomp
and T2,F-incomp |
Processing times of Server C and F in the incompatible
conditions |
|
SOA
(stimulus onset asynchrony) |
The delay
between the presentation of the stimuli of T1 and T2 |
|
Tk |
Processing
time at server k (k=AP, VP, A, B, C, F, W, Y, Z, X) |
方程组C-5:双重任务干扰建模:方程式(8-9)
(Lin & Wu, 2012)
|
Variables |
Description |
Sources |
|
|
|
DLi |
Delay time |
|
||
|
Ti,C |
The entity processing
time needed at Server C |
|
||
|
PTi-1 |
Time lapse for the previous
key to be pressed |
|
||
|
Iv |
Inter stimulus interval |
|
||
|
Iv
+ TAP+
TB |
Time lapse for the entity
of the on-going stimulus to leave Server B |
|
||
|
PTi-1-(Iv
+TAP+TB) |
The least duration that the
current stimulus needs to wait at Server C |
|
||
|
TC |
Cycle
time at Server C |
|
||
-服务器E:
方程组C-6:动作控制中的背景噪声:方程式(15)
(Lin & Wu, 2012)
|
Variables |
|
|
|
|
The extent
of SDN added with muscle activation level u; |
Modelling
baseline errors in numerical typing |
|
|
Experimental
constants |
Modelling
baseline errors in numerical typing |
|
u |
Muscle
activation level |
Modelling
baseline errors in numerical typing |
|
c |
The extent of temporal noise |
c is
the extent of TN which accumulates as movement time increases |
|
I |
Interference
index |
I was
an interference index accounting for the relative extent of the dual-task
interference in background noise (CN). |
方程组C-7:多任务中的选择反应建模:方程式(B16) (Wu & Liu, 2008a)
|
Variables |
|
|
|
E(RT2) |
Expected
reaction time |
|
|
SOA |
Stimulus-onset
asynchrony |
The time
difference between the onset of the two stimuli from two tasks |
|
Ti |
Processing time of servers see (Wu & Liu, 2008a) |
|
|
TFst |
|
|
方程组C-8:建模响应复杂度的影响(同时使用一个手指或多个手指):公式(1-13)(Lin
& Wu, 2012)
|
Variables |
|
|
|
|
Response
time to i th stimulus
with a finger strategy under an urgency condition |
|
|
|
Finger strategy |
|
|
i |
Response
order |
|
|
T |
Processing
time |
|
方程组C-9:具有值矩阵的复杂决策:公式(5)(Zhao
& Wu, 2013)
|
Variables |
|
|
P(t) |
Speed choice
at time t |
|
V(t) |
Momentary
valence |
|
M(n) |
Human
subjective attribute matrix |
|
W(t) |
Attention
weight matrix |
|
S |
Feedback
matrix |
方程组C-10:感知风险建模:方程式(5)
(Zhuang & Wu, 2013)
|
Variables |
|
|
PRv |
Human
perceived risk increases with higher risk from vehicles |
|
PRl |
Human
perceived risk increases with higher risk from local-defined risk |
|
ag |
A
coefficient adjusting effect of group size of human |
|
Ngroup |
Group
size of human |
方程组C-11:横向控制决策:方程式(1,2)
(Bi, Gan, Shang, & Liu, 2012)
|
Variables |
|
|
Increment
of steering angle |
|
|
kp, kd |
The
coefficients of proportional derivative controller |
|
a'y |
The first
derivative of acceleration |
|
E |
Error between
the desired lateral position gained with the predefined desired path and
predictive lateral position computed with the internal vehicle dynamics model |
|
v |
Current
lateral velocity |
|
tp |
Preview
time |
方程组C-12:对风险评估的准确性建模:方程式(8,16,21)(
Zhang, Wu, & Wan, 2016)
|
Variables |
|
|
|
|
The
effect of hazard evaluation accuracy on error rate |
|
|
|
Perceived
value of hazard |
|
|
|
Actual value
of hazard |
|
|
|
Estimated
distance |
|
|
|
Threshold
of perceived distance |
|
|
|
Actual
distance between the current position of warning receiving vehicle |
|
|
v(t) |
Instant
speed |
The
instant speed (v) and acceleration (at) at time t is modeled in [23] as
follows: |
|
|
Global optic
flow rate of the textured ground surface |
φ is
the global optic flow rate of the textured ground surface, a proportion of
speed as long as eye height is constant |
|
k |
Parameter |
The
parameter k is quantified by the annual mileage divided by a maximum value of
annual mileage in general |
|
|
Perceived
time-to-collision |
The
perceived time-to-collision (TTCp) will be affected
by the existence of the lead vehicle. TTC is the actual time to collision
that the vehicle will be able to avoid a collision without exceeding the
assumed maximum deceleration |
|
LV |
Lead
vehicle status |
LV is a
dichotomous variable of the lead vehicle in order to model the effect of the
lead vehicle on TTCp (0 = without lead
vehicle; 1 = with lead vehicle) |
|
|
Lead
time of speech warning |
|
-服务器G:
方程组C-13:紧迫性和动机建模:方程式(12)
(Lin & Wu, 2012)
|
Variables |
|
|
|
|
Response
time to i th stimulus with
a finger strategy under an urgency condition |
|
|
RT |
Reaction
time |
|
|
DL |
Delay
time caused by dual-task interference |
|
|
MT |
Movement
time |
|
|
|
Key-closure
Time |
|
|
|
Finger
strategy |
notation
of finger strategy. |
|
|
Urgency |
notation
of urgency. |
|
i |
Response
order |
notation
of response order. i=1→first response in 9-digit
number, and so on. |
动作控制子网络
方程组M-1:学习过程中的运动程序检索建模:方程式(2)
(Wu & Liu, 2008b)
|
Variables |
|
|
|
|
Processing
time in each server |
Reduction
of Server Processing Time. |
|
|
Expected
minimal processing time (Ti) at server i after intensive practice |
Feyen (2002) |
|
|
Change
in the expected processing time from the beginning to the
end of practice |
Reduction
of Server Processing Time. |
|
|
Learning
rate of server i |
Heathcote
et al. (2000) |
|
|
Number
of entities processed by server i |
Reduction
of Server Processing Time. |
-服务器X:
方程组M-2:闭环动作控制中的误差校正模型:方程式(24-32)(Lin
& Wu, 2012)
|
Variables |
|
|
|
|
The
uncorrected portion of endpoint variability |
Endpoint
variability in different conditions |
|
MT |
Movement
time |
Modelling
response time of numerical typing: the general equation of response time |
|
DL |
Delay
time caused by dual-task interference |
Modelling
response time of numerical typing: the general equation of response time |
|
Err% |
Estimations
of error rates |
Estimations
of error rates (Err%) in jth typing
conditions |
|
P( |
Parameters |
The
probability of errors in X-direction and Y-direction during jth experimental condition |
-手服务器(服务器23,24):
方程组M-3:QWERTY键盘输入中手和手指移动的时间和错误:方程式(19)
(Wu & Liu, 2008b)
|
Variables |
|
|
|
Dis |
Movement
distance |
Distribution
of Movement Distance. |
|
M |
Population
size |
Equation
(19) can be used to estimate the distribution of movement distance of
different body parts including hands and fingers. |
|
RD |
Movement
radius |
Equation
(19) can be used to estimate the distribution of movement distance of
different body parts including hands and fingers. |
方程组M-4:双手(两只手)配合:方程(31-34)(Wu
& Liu, 2008b)
|
Variables |
|
|
|
Y |
Time |
The
time (Y) saved by optimization of EPD |
|
EPD |
Error
Prevention Duration |
The optimization
process of EPD is a trade-off between the time in typing and the
time in error correcting |
|
N |
Number |
The
number of characters typed |
|
|
Parameter |
It
specifies how long to correct one transposition error |
|
e |
Parameter |
It
refers to the error rate of the transposition error made by reducing of EPD |
方程组M-5:数字打字中的手和手指移动时间和错误:方程式(13)(16)
(Lin & Wu, 2012)
|
Variables |
|
|
|
|
Response
time to ith
stimulus with a finger strategy under β urgency condition |
Modelling
response time of numerical typing: the general equation of response time |
|
|
The
processing time of ith stimulus at Server k |
All Tk
are estimated based on parameter settings in QN-MHP |
|
D |
Travel
distance |
Modelling
baseline response time in numerical typing |
|
|
Effective
target size |
The
effective target size (Se) is calculated based on the maximal target width
that can be utilized without touching adjacent keys: |
|
|
Constant |
Im =100 is used as it
was suggested in the original study (Card et al.
1983) |
|
|
Key-closure
Time |
Modelling
response time of numerical typing: the general equation of response time |
|
Variables |
Description |
|
|
The Extent
of SDN added with muscle activation level u in the |
|
|
Muscle
activation level in the |
|
|
Extent
of TN in the |
|
|
Interference
index |
|
|
Experimental
constants |
-脚服务器(服务器25)
方程组M-6:脚踩踏板时的运动时间:方程式(21)
(Wu & Liu, 2008b)
|
Variables |
Description |
Sources |
|
MT |
Movement
time |
The
foot server executes the simulated movement to press a pedal and its movement
time ( |
|
S |
Shoe
width |
S
refers to the shoe width [10cm, Armstrong 2004] |
|
W |
Pedal
width |
W is
the pedal width (10cm, same with the shoe width) |
|
A |
Parameter |
A
stands for the movement distance (3cm, typical movement distance for a foot
pedal). |
方程组M-7:不考虑人的个性作为个体差异因素的脚部运动的角速度:方程式(3)
(Zhao, Wu, & Qiao, 2013)
|
Variables |
Description |
Sources |
|
|
Pedal
angular velocity |
Mathematical
Model of Human operator Speed Control: Speed Adjustment |
|
A |
Constant |
Mathematical
Model of Human operator Speed Control: Speed Adjustment |
|
|
Target
speed |
Mathematical
Model of Human operator Speed Control: Speed Adjustment |
|
|
Perceived
speed |
Mathematical
Model of Human operator Speed Control: Speed Adjustment |
方程组M-8:考虑人的个性作为个体差异因素的脚部运动的角速度
(Zhao & Wu, 2013)(Zhao & Wu, 2013)
|
Variables |
Description |
|
|
Pedal
angular velocity |
|
A |
Constant |
|
|
Target
speed |
|
|
Perceived
speed |
|
η |
Personality
index |
方程组M-9:人的目标速度对车辆运动速度的影响:方程(6)(Zhao
& Wu, 2013)
|
Variables |
Description |
Sources |
|
V |
Vehicle
speed |
Mathematical Model of Human operator Speed Control: Vehicle
Mechanics |
|
|
Vehicle
acceleration |
Mathematical Model of Human operator Speed Control: Vehicle
Mechanics |
|
vtar |
Target
speed of a human operator |
|
|
|
Initial
acceleration |
Mathematical Model of Human operator Speed Control: Vehicle
Mechanics |
|
|
Coefficient
of the overall drag on the vehicle |
Mathematical Model of Human operator Speed Control: Vehicle
Mechanics |
|
A,B |
Constants |
Mathematical Model of Driver Speed Control: Vehicle Mechanics |
5. 使用QN-MHP对人的绩效进行数学建模的主要贡献者(欢迎加入我们!Email:changxuwu@gmail.com)
我们特别感谢密歇根大学的Dr.
Yili Liu,他用排队网络理论统一了现有的反应时间模型,为人的绩效的排队网络建模奠定了理论基础。
Dr. Changxu Wu (Group Coordinator) at University of
Arizona, USA
Dr. Robert Feyen, University
of Minnesota, USA
Dr. Omer Tsimhoni, General
Motors, USA
Dr. Ji Hyoun Lim, Apple,
USA; Hongik University, Korea
Dr. Luzheng Bi at Beijing
Institute of Technology, China
Dr. Shi Cao at University of Waterloo, Canada
Dr. Guozhen Zhao at Chinese
Academy of Sciences, China
Dr. Cheng-Jhe (Robert) Lin,
National Taiwan University of Science and Technology
Dr. Jingyan Wan, General
Motors, USA
Dr. Yiqi Zhang at Pen State
University, USA
6. 发表QN-MHP模型文章的国内外科研机构
美国密歇根大学
美国杜克大学
美国宾夕法尼亚州立大学
美国纽约州立大学
美国亚利桑那大学
美国密歇根理工大学
韩国首尔大学
清华大学
中国科学院
台湾清华大学
北京理工大学
四川大学
7. 已经运用QN-MHP模型作为主要建模方法的国际期刊和会议文章
Bi, L. Z., Gan, G. D., Shang, J. X., &
Liu, Y. L. (2012). Queuing Network Modeling of Driver Lateral Control With or
Without a Cognitive Distraction Task [Article]. Ieee
Transactions on Intelligent Transportation Systems, 13(4), 1810-1820.
https://doi.org/10.1109/Tits.2012.2204255
Bi, L. Z., Tsimhoni, O., & Liu, Y. L. (2009). Using Image-Based
Metrics to Model Pedestrian Detection Performance With Night-Vision Systems
[Article]. Ieee Transactions on Intelligent
Transportation Systems, 10(1), 155-164.
https://doi.org/10.1109/Tits.2008.2011719
Bi, L. Z., Wang,
M. T., Wang, C. E., & Liu, Y. L. (2015). Development of a Driver Lateral
Control Model by Integrating Neuromuscular Dynamics Into the Queuing Network-Based
Driver Model [Article]. Ieee Transactions on
Intelligent Transportation Systems, 16(5), 2479-2486.
https://doi.org/10.1109/Tits.2015.2409115
Cao, S., &
Liu, Y. (2015). Modelling workload in cognitive and concurrent tasks with time
stress using an integrated cognitive architecture. International Journal of
Human Factors Modelling and Simulation, 5(2), 113-135.
https://doi.org/10.1504/ijhfms.2015.075360
Chikodili, H.
U., Mathew, C. O., & Caroline, N. A. (2017). Performance evaluation of law
enforcement agency on crime information management using queuing network model.
International Journal of Physical Sciences, 12(4), 38-51.
https://doi.org/10.5897/ijps2016.4581
Feng, F., Liu, Y.,
Chen, Y., Filev, D., & To, C. (2014).
Computer-aided usability evaluation of in-vehicle infotainment systems.
Proceedings of the Human Factors and Ergonomics Society Annual Meeting,
Feng, F., Liu, Y.
L., & Chen, Y. F. (2017). A computer-aided usability testing tool for
in-vehicle infotainment systems [Article]. Computers & Industrial
Engineering, 109, 313-324. https://doi.org/10.1016/j.cie.2017.05.019
Fu, X. L., Cai, L.
H., Liu, Y., Jia, J., Chen, W. F., Yi, Z., Zhao, G. Z., Liu, Y. J., & Wu,
C. X. (2014). A computational cognition model of perception, memory, and judgment
[Article]. Science China-Information Sciences, 57(3), 15, Article 032114.
https://doi.org/10.1007/s11432-013-4911-9
Fuller, H. J.,
Reed, M. P., & Liu, Y. (2010). Integrating physical and cognitive human
models to represent driving behavior. Proceedings of the Human Factors and
Ergonomics Society Annual Meeting,
Fuller, H. J. A.,
Reed, M. P., & Liu, Y. L. (2012). Integration of Physical and Cognitive
Human Models to Simulate Driving With a Secondary In-Vehicle Task [Article]. Ieee Transactions on Intelligent Transportation Systems,
13(2), 967-972. https://doi.org/10.1109/Tits.2012.2182764
Gil, G. H., & Kaber, D. B. (2012). An Accessible Cognitive Modeling Tool
for Evaluation of Pilot-Automation Interaction [Article]. International Journal
of Aviation Psychology, 22(4), 319-342.
https://doi.org/10.1080/10508414.2012.718236
Jeong, H.,
& Liu, Y. (2016). Computational Modeling of Finger Swipe Gestures on
Touchscreen: Application of Fitts’ Law in 3D Space. Proceedings of the Human
Factors and Ergonomics Society Annual Meeting,
Jeong, H.,
& Liu, Y. L. (2019). Computational Modeling of Touchscreen Drag Gestures
Using a Cognitive Architecture and Motion Tracking [Article]. International
Journal of Human-Computer Interaction, 35(6), 510-520. https://doi.org/10.1080/10447318.2018.1466858
Ko, S., Kutchek, K., Zhang, Y., & Jeon, M. (2021). Effects of
Non-Speech Auditory Cues on Control Transition Behaviors in Semi-Automated
Vehicles: Empirical Study, Modeling, and Validation [Article]. International
Journal of Human–Computer Interaction, 38(2), 185-200.
https://doi.org/10.1080/10447318.2021.1937876
Li, H., Bi, L.,
& Shi, H. (2020). Modeling of Human Operator Behavior for Brain-Actuated
Mobile Robots Steering [Article]. IEEE Trans Neural Syst Rehabil
Eng, 28(9), 2063-2072.
https://doi.org/10.1109/TNSRE.2020.3009376
Lim, J. H., &
Liu, Y. (2004). A queuing network model for visual search and menu selection.
Proceedings of the Human Factors and Ergonomics Society Annual Meeting,
Lim, J. H., &
Liu, Y. L. (2009). Modeling the Influences of Cyclic Top-Down and Bottom-Up
Processes for Reinforcement Learning in Eye Movements [Article]. Ieee Transactions on Systems Man and Cybernetics Part
a-Systems and Humans, 39(4), 706-714.
https://doi.org/10.1109/Tsmca.2009.2018635
Lim, J. H., Liu,
Y. L., & Tsimhoni, O. (2010). Investigation of
Driver Performance With Night-Vision and Pedestrian-Detection Systems-Part 2:
Queuing Network Human Performance Modeling [Article]. Ieee
Transactions on Intelligent Transportation Systems, 11(4), 765-772.
https://doi.org/10.1109/Tits.2010.2049844
Lin, B. T. W.,
& Hwang, S. L. (2012). Effect prediction of time-gaps for adaptive cruise
control (ACC) and in-vehicle tasks on bus driver performance [Article]. Safety
Science, 50(1), 68-75. https://doi.org/10.1016/j.ssci.2011.07.003
Lin, C.-J., Wu,
C., & Chaovalitwongsec, W. A. (2014). Integrating
behavior modeling with data mining to improve human error prediction in
numerical data entry. Proceedings of the human factors and ergonomics society
annual meeting,
Lin, C. J., &
Wu, C. (2012). Mathematically modelling the effects of pacing, finger
strategies and urgency on numerical typing performance with queuing network
model human processor [Article]. Ergonomics, 55(10), 1180-1204.
https://doi.org/10.1080/00140139.2012.697583
Lin, C. J., Wu, C.
X., & Chaovalitwongse, W. A. (2015). Integrating
Human Behavior Modeling and Data Mining Techniques to Predict Human Errors in
Numerical Typing [Article]. Ieee Transactions on
Human-Machine Systems, 45(1), 39-50. https://doi.org/10.1109/Thms.2014.2357178
Liu, Y., Feyen, R., & Tsimhoni, O.
(2006). Queueing Network-Model Human Processor (QN-MHP). Acm
Transactions on Computer-Human Interaction, 13(1), 37-70.
https://doi.org/10.1145/1143518.1143520
Liu, Y., & Wu,
C. (2006). Modeling Percentage Change of fMRI BOLD Signal and Reaction Time of
a Dual Task with a Queuing Network Modeling Approach. Proceedings of the Annual
Meeting of the Cognitive Science Society,
Liu, Y., Wu, C.,
& Berman, M. G. (2012). Computational neuroergonomics
[Article]. Neuroimage, 59(1), 109-116.
https://doi.org/10.1016/j.neuroimage.2011.05.027
Liu, Y. L. (2009).
QN-ACES: Integrating Queueing Network and ACT-R, CAPS, EPIC, and Soar
Architectures for Multitask Cognitive Modeling [Article]. International Journal
of Human-Computer Interaction, 25(6), 554-581, Article Pii
913657582. https://doi.org/10.1080/10447310902973182
Rhie, Y.
L., Lim, J. H., & Yun, M. H. (2019). Queueing Network Based Driver Model
for Varying Levels of Information Processing [Article]. Ieee
Transactions on Human-Machine Systems, 49(6), 508-517.
https://doi.org/10.1109/Thms.2018.2874183
Tsimhoni, O.,
& Liu, Y. (2003). Modeling steering using the queueing network—model human
processor (QN-MHP). Proceedings of the human factors and ergonomics society
annual meeting,
Tsimhoni, O.,
& Reed, M. P. (2007). The virtual driver: Integrating task planning and
cognitive simulation with human movement models. SAE Transactions, 1525-1531.
https://doi.org/10.4271/2007-01-1766
Wu, C. (2018). The
Five Key Questions of Human Performance Modeling [Article]. Int J Ind Ergon,
63, 3-6. https://doi.org/10.1016/j.ergon.2016.05.007
Wu, C., & Liu,
Y. (2004). Modeling human transcription typing with queuing network-model human
processor (QN-MHP). Proceedings of the human factors and ergonomics society
annual meeting,
Wu, C., & Liu,
Y. (2006). Queuing network modeling of age differences in driver mental
workload and performance. Proceedings of the Human Factors and Ergonomics
Society Annual Meeting,
Wu, C., & Liu,
Y. (2008a). Queuing network modeling of the psychological refractory period
(PRP). Psychol Rev, 115(4), 913-954. https://doi.org/10.1037/a0013123
Wu, C., & Liu,
Y. (2008b). Queuing network modeling of transcription typing [Review]. Acm Transactions on Computer-Human Interaction, 15(1), 45.
https://doi.org/10.1145/1352782.1352788
Wu, C. X., Liu, Y.
J., & Lin, B. (2012). A Queueing Model Based Intelligent Human-Machine Task
Allocator [Article]. Ieee Transactions on Intelligent
Transportation Systems, 13(3), 1125-1137.
https://doi.org/10.1109/Tits.2012.2187351
Wu, C. X., &
Liu, Y. L. (2007a). Queuing network modeling of driver workload and performance
[Article]. Ieee Transactions on Intelligent
Transportation Systems, 8(3), 528-537. https://doi.org/10.1109/Tits.2007.903443
Wu, C. X., &
Liu, Y. L. (2007b). Usability Makeover of a Cognitive Modeling Tool [Editorial
Material]. Ergonomics in Design, 15(2), 8-14. https://doi.org/Doi
10.1177/106480460701500201
Wu, C. X., &
Liu, Y. L. (2009). Development and evaluation of an ergonomic software package
for predicting multiple-task human performance and mental workload in
human-machine interface design and evaluation [Article]. Computers &
Industrial Engineering, 56(1), 323-333. https://doi.org/10.1016/j.cie.2008.06.013
Wu, C. X., Liu, Y.
L., & Quinn-Walsh, C. M. (2008). Queuing network modeling of a real-time
psychophysiological index of mental workload - P300 in event-related potential
(ERP) [Article]. Ieee Transactions on Systems Man and
Cybernetics Part a-Systems and Humans, 38(5), 1068-1084.
https://doi.org/10.1109/Tsmca.2008.2001070
Wu, C. X., Tsimhoni, O., & Liu, Y. L. (2008). Development of an
adaptive workload management system using the queueing network-model human
processor (QN-MHP) [Article]. Ieee Transactions on
Intelligent Transportation Systems, 9(3), 463-475.
https://doi.org/10.1109/Tits.2008.928172
Zhang, Y., &
Wu, C. (2014). Modeling the effect of loudness and semantics of speech warnings
on human performances. Proceedings of the Human Factors and Ergonomics Society
Annual Meeting,
Zhang, Y., &
Wu, C. (2017). Learn to integrate mathematical models in human performance
modeling. Proceedings of the Human Factors and Ergonomics Society Annual
Meeting,
Zhang, Y. Q., Wu,
C. X., Qiao, C. M., Sadek,
A., & Hulme, K. F. (2022). A Cognitive Computational Model of Driver
Warning Response Performance in Connected Vehicle Systems [Article; Early
Access]. Ieee Transactions on Intelligent
Transportation Systems, 16. https://doi.org/10.1109/Tits.2021.3134058
Zhang, Y. Q., Wu,
C. X., & Wan, J. Y. (2016). Mathematical Modeling of the Effects of Speech
Warning Characteristics on Human Performance and Its Application in
Transportation Cyberphysical Systems [Article]. Ieee Transactions on Intelligent Transportation Systems,
17(11), 3062-3074. https://doi.org/10.1109/Tits.2016.2539975
Zhang, Y. Q., Wu,
C. X., & Wan, J. Y. (2017). A human-in-the-loop wireless warning message
notification model and its application in connected vehicle systems [Article].
Journal of Intelligent Transportation Systems, 21(2), 148-166.
https://doi.org/10.1080/15472450.2016.1254045
Zhao, G., Wu, C.,
& Ou, B. (2011). Mathematical modeling of average
driver speed control with the integration of queuing network-model human
processor and rule-based decision field theory. Proceedings of the Human
Factors and Ergonomics Society Annual Meeting,
Zhao, G. Z., &
Wu, C. X. (2013). Mathematical Modeling of Driver Speed Control With Individual
Differences [Article]. Ieee Transactions on Systems
Man Cybernetics-Systems, 43(5), 1091-1104.
https://doi.org/10.1109/Tsmc.2013.2256854
Zhao, G. Z., Wu,
C. X., & Qiao, C. M. (2013). A Mathematical Model
for the Prediction of Speeding with its Validation [Article]. Ieee Transactions on Intelligent Transportation Systems,
14(2), 828-836. https://doi.org/10.1109/Tits.2013.2257757
Zhuang, X. L.,
& Wu, C. X. (2013). Modeling Pedestrian Crossing Paths at Unmarked Roadways
[Article]. Ieee Transactions on Intelligent
Transportation Systems, 14(3), 1438-1448.
https://doi.org/10.1109/Tits.2013.2267734
若要成为人类绩效建模中数学建模小组的成员(用户或贡献者),请发送电子邮件至changxu.wu@gmailcom(请列出您的全名和机构/公司名称),我们将向您发送最新更新,新的建模工作,和新教程。所有这些都是免费的。